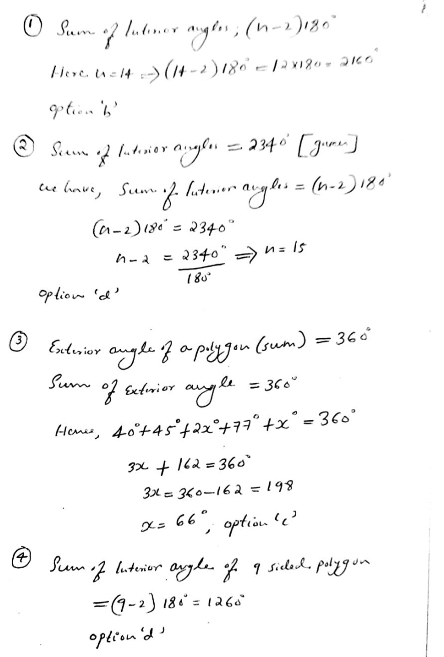
Find The Sum Of The Measures Of The Interior Angles Of Each Convex Polygon. 14-gon

Best Wallpaper Ideas website. Search anything about Wallpaper Ideas in this website.

Find The Sum Of The Measures Of The Interior Angles Of Each Convex Polygon. 14-gon. A convex polygon has the measure of each interior angles to be less than. Use the Polygon Interior Angles Sum Theorem to find the sum of its interior angle measures.

The Sum Of The Interior Angles In An 14 Gon Is How Many Degrees Socratic
The Sum Of The Interior Angles In An 14 Gon Is How Many Degrees Socratic from socratic.org

Sum of the interior angles of a 14-gon polygon is n-2 180 14 -2 180 2160. A heptagon has seven sides. The sum of the interior angles of a triangle is 180 deg.

Find the sum of the interior angle measures of each convex polygon.

N 9 -2180n 9 -2180 7180 1260. Where n is the number of sides of the polygon. Use the Polygon Interior Angles Sum Theorem to find the sum of its interior angle measures. For the nonagon shown find the unknown angle measure x.